Un recipiente de aluminio de 300g contiene 200g de agua a 10º C. Si se vierten 100 g más de agua, pero a 100º C, calcular la temperatura final de equilibrio del sistema. R: 34.6º C.
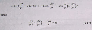
Por tanto, tenemos

Debido a que q es uniforme a traves de la esfera y Tw es constante sobre toda la superficie (la frontera) de la esfera, es de esperar que la distribución de temperatura sea simétrica con respecto al centro de la esfera. Los razonamientos a exponer son iguales que los que seguimos en el caso de la pared planta con generación de calor uniforme. Esto significa que nuestra segunda condición de frontera es:

Puesto que se trata de una ecuación diferencial de segundo orden, requerimos de dos condiciones limitrofes para obtener una solución. Una condición es:

Debido a que q es uniforme a traves de la esfera y Tw es constante sobre toda la superficie (la frontera) de la esfera, es de esperar que la distribución de temperatura sea simétrica con respecto al centro de la esfera. Los razonamientos a exponer son iguales que los que seguimos en el caso de la pared planta con generación de calor uniforme. Esto significa que nuestra segunda condición de frontera es:


En qué libro te basas?
ResponderBorrar